近日,厦门大学环境与生态学院、近海海洋环境科学国家重点实验室(厦门大学)陈能汪教授团队在海陆界面氮循环研究方面取得新进展,相关成果以“Drought reduces nitrogen supply and N2O emission in coastal bays”为题,发表于Water Research.
该研究聚焦水文气候如何影响海湾氮循环与温室气体(N2O)排放这一科学前沿问题,通过多年连续观测和实验,应用同位素示踪与气象水文指数评估方法,解析2020-2022年干旱事件对高度城镇化的厦门湾氮循环过程的影响,并开展多个海湾对比分析,发现干旱事件减少海湾的氮供应与N2O排放。论文强调了水文气候学与生物地球化学耦合研究对于推进理解海陆界面生态环境演变与全球气候变化互馈机制的重要性。
研究背景
气候变化在加速厄尔尼诺/南方涛动(ENSO)的相态转换,这可能增加洪水、干旱等极端天气事件发生的频率和强度。近期研究表明,随着全球气温上升,突发性干旱事件或将成为新的常态。这些变化将重塑陆地水文格局,并对营养物质循环和近海生态系统产生深远影响。此外,海岸带地区人为氮源过量输入,也在加速近海水体富营养化。近海氮循环及其相关的温室气体排放对气候变化的响应是当前生物地球化学研究的焦点内容之一。然而,干旱事件如何影响氮素的陆海输运模式,以及氮源供应的变化如何进一步影响海湾水体氮循环和温室气体N2O的排放,仍缺乏观测数据和系统性研究。
研究结果
本研究深入分析了2020-2022年间我国东南沿海厦门湾在经历干旱期间的氮供应和温室气体N2O排放情况,并从中揭示了干旱在海陆界面氮循环中的关键作用。主要发现如下:
(1)与2019正常水文年份相比,2020年干旱导致当年降水减少约50%,尽管在随后的2021-2022年降雨有所恢复,但河流径流量仍持续较低(图1)。这个干旱事件对厦门湾表层水中的氮形态产生了显著影响,氨氮(NH4-N)、亚硝氮(NO2-N)和硝氮(NO3-N)浓度显著下降,分别减少了49.4%、32.1%和40.3%(图2)。其中,氨氮浓度的降低主要是因为干旱减少了地表径流,从而减少了径流携带的氨氮的输入;而硝氮和亚硝氮的减少则主要发生在春季和夏季,这与潜在蒸散量(potential evapotranspiration, PET)的增加有关。随着PET的增加,地下水停留时间延长,促进了土壤反硝化脱氮作用,从而减少了来自地下水携带的硝态氮的供应(图3)。
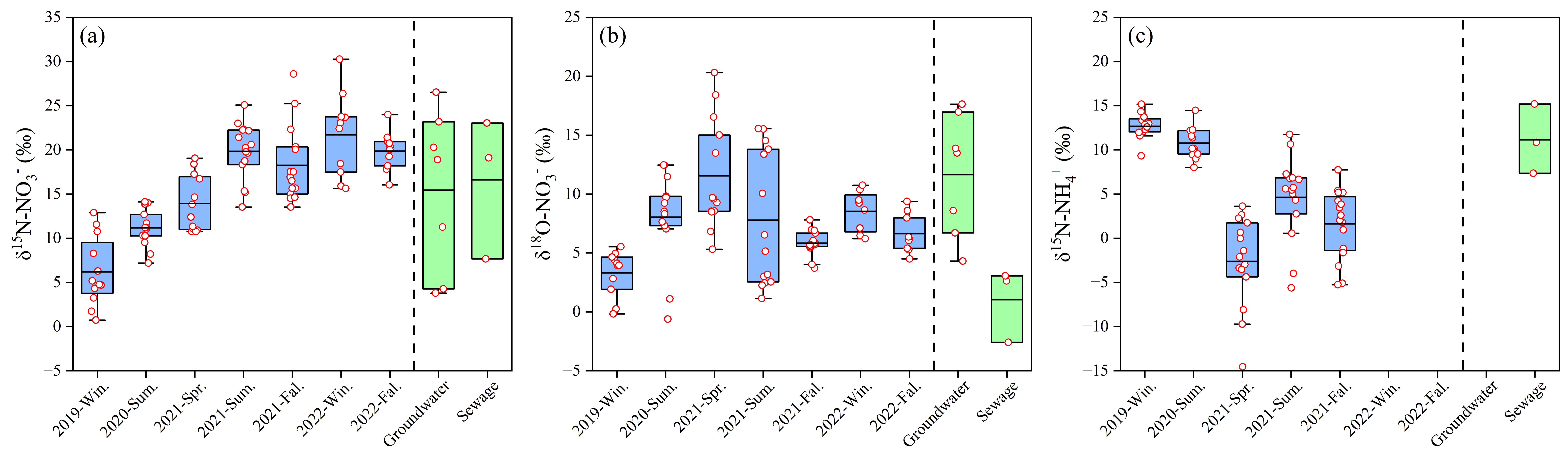
(2)干旱期间,海湾硝氮氮氧同位素(δ15N-NO3-、δ18O-NO3-)增加,暗示陆地反硝化增强进一步改变了进入海湾的硝氮同位素组成;海湾氨氮氮同位素(δ15N-NH4+)降低,暗示矿化和异化还原等氨氮内部来源过程的增强(图4)。
(3)2020-2022年干旱期间,年均N2O排放量降低了40.0% ~72.7%(图2),这一变化与硝氮、溶解态无机氮(DIN)和溶解态总氮(DTN)浓度的降低密切相关(图3)。作为反硝化的底物,硝氮浓度的下降会减弱海湾反硝化过程及其产生的N2O,陆源硝氮供应减少是干旱期间N2O排放量降低的主要驱动因素。
(4)通过与福建省三沙湾和美国切萨皮克湾的对比分析,发现三个海湾的潜在蒸散发与硝氮浓度之间存在一致的负相关关系,特别在蒸发需求干旱指数(EDDI)较大时相关性更为显著(图5)。值得注意的是,厦门湾中氨氮与河流径流呈正相关,但在其他两个海湾中则呈负相关。这些结果反映了不同海湾两种氮源供应机制的区域差异以及复杂性。
研究表明,干旱事件通过减少地表水和地下水文与海洋的连通性,减少陆源氨氮和硝氮的供应,间接减弱了海湾氮循环关键过程(如硝化、反硝化)与温室气体N2O排放(图6)。本研究揭示了干旱事件对海湾氮循环有显著影响,为预测全球变化背景下海陆界面氮循环和温室气体排放提供了新的视角,也为陆海统筹氮污染治理和温室气体减排提供了重要的科学依据。

图1 厦门湾区域气象和水文条件逐月变化(2019-2022)

图2 厦门湾表层海水氮浓度(a-d)、ΔN2O浓度(e)和海气界面N2O通量(f)的季节变化与年际变化
注:ΔN2O和FN2O正值表示向大气排放,负值表示海水吸收。箱体的中线表示观测数据平均值,箱体边缘表示四分位距(25%到75%)。

图3 厦门湾水文气象参数与水质指标的Mantel相关性分析
注:在Mantel分析中,p值用于评估两个距离矩阵之间关系的统计显著性,r值量化相关强度,Pearson’r值用于评估成对变量之间的线性相关性。

图4 厦门湾海水中硝氮氮氧同位素和氨氮氮同位素以及干旱期间地下水和污水的同位素值对比。

图5 厦门湾、三沙湾和美国切萨皮克湾中氮形态与气象水文参数的关系
注:氨氮(NH4-N)与河流流量的回归关系(a);硝氮(NO3-N)与潜在蒸散量(PET)的回归关系(b);不同干旱程度下按标准盐度35修正的氨氮浓度(c)和硝氮浓度(d)。

图6 干旱事件影响海湾氮供应、氮循环过程与温室气体N2O排放的概念图
研究团队
本论文第一作者为我院2022级博士生张明真,通讯作者为陈能汪教授。共同作者包括我院余丹博士后、2024级博士生余镒琦、2020级硕士研究生闫瑞峰(目前在哈尔滨工业大学读博)、中国地质科学院水文地质环境地质研究所李亚松研究员、海南热带海洋学院公维洁实验师,中科院烟台海岸带研究所肖凯研究员和我院李少斌副教授。研究获得厦门市科技项目(3502Z20226021)、福建省科技项目(2023Y4001)、国家自然科学基金(41676098)和近海海洋环境科学国家重点实验室(厦门大学)博士生奖学金的资助。
论文来源
Zhang, M.Z., Yu, D., Yu, Y.Q., Yan, R.F., Li, Y.S., Gong, W.J., Xiao, K., Li, S.B. and Chen, N.W.* (2024) Drought reduces nitrogen supply and N2O emission in coastal bays. Water Research, 266, 122362.
文、图 | 张明真 陈能汪
责任编辑 | 陈能汪
排版 | 吴晓倩