近日,厦门大学环境与生态学院、滨海湿地教育部重点实验室滨海湿地群落生态学团队研究发现,表型可塑性与自然选择协同驱动滨海湿地入侵植物互花米草生态位宽度随纬度升高逐渐递减。沿纬度梯度的温度差异导致互花米草的表型可塑性和自然选择强度呈现纬度分异:低纬度区域通过高的表型可塑性扩展种群的生态幅,而高纬度区域通过自然选择提升种子萌发率和幼苗存活率以维持种群的适应能力。此项研究阐明了互花米草跨纬度生态位扩张的生态适应策略,为预测全球气候变化下外来入侵植物分布动态及构建防控体系提供了理论框架。该研究成果以“Temperature affects the relative importance of phenotypic plasticity and natural selection contributing to the niche breadth of invasive plants”为题发表于Oikos。
研究背景
外来入侵物种沿纬度梯度分布广泛,并具备适应不同气候条件的能力。表型可塑性与自然选择共同驱动入侵物种快速适应新生境,促使其生态位宽度随环境异质性发生变化。一方面,入侵植物通过表型可塑性实现跨地理区域适应,其不同功能性状的可塑性沿纬度梯度的变化对物种生态位宽度具有决定性影响;另一方面,沿纬度梯度形成的自然选择压力通过局域适应,促使入侵植物的种子特性、生长、繁殖及物候特征呈现纬度渐变群格局,进一步拓展生态位宽度。然而,当前研究虽在纬度梯度上积累了外来入侵植物表型可塑性与局域适应的丰富实证,但二者如何协同驱动入侵植物跨纬度生态位扩展仍不清晰。因此,系统解析表型可塑性与自然选择对外来入侵植物沿纬度生态位扩张的作用机制,将为揭示外来植物入侵机制提供新范式。
研究方法
本研究以全球性滨海湿地入侵植物互花米草(Spartina alterniflora)为研究对象,通过沿纬度梯度构建3个温室同质种植园体系(低纬度20.9°N、中纬度28.3°N、高纬度37.4°N)(图1),并分别种植来自入侵地中国不同纬度互花米草种群的种子,实时跟踪观测种子萌发特性及幼苗存活情况,进一步对比分析各个温室内不同纬度种源互花米草种子萌发、幼苗存活、表型可塑性及生态位宽度等特性的变异与适应规律,以期阐明表型可塑性和自然选择的协同作用对互花米草生态位扩张的作用机制。

图1 野外跨纬度互花米草种子采样地点(黑色实心点)和温室同质种植园地点(正方形)
研究结果
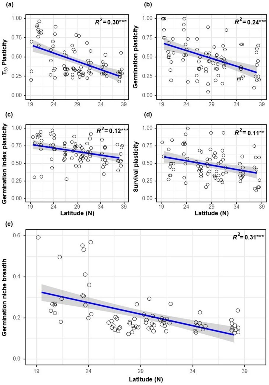
在温度同质种植园中不同纬度互花米草种子的累积萌发率随时间变化呈现显著差异,低纬度种源种子初期萌发早且快,但迅速趋于平缓,而中、高纬度种源种子萌发时间晚、初期萌发缓慢、越冬后萌发率更高,之后维持平缓趋势(图2)。在温室同质种植园环境条下,互花米草种子萌发时间、萌发率、萌发指数和幼苗存活率均随纬度升高而逐渐增加,其中高纬度温室同质种植园中的种子萌发时间呈现较缓变化斜率,而其他性状则表现出更陡峭的纬度响应(图3)。与此相反,互花米草种子萌发及幼苗存活特性的表型可塑性随纬度升高而递减,与种子萌发生态位宽度的变化趋势一致(图4)。同时,随纬度梯度温度递减,自然选择压力显著增强,但表型可塑性响应呈现同步减弱趋势(图3和图4)。

图2 跨纬度温室同质种植园中不同纬度互花米草种群种子萌发过程:高纬度同质种植园(a);中纬度温室同质种植园(b);低纬度温室同质种植园(c)

图3 跨纬度温室同种植园间互花米草平均萌发时间T50(a)、萌发率(d)、萌发指数(g)和幼苗存活率(j)的差异(不同字母表示P < 0.05;采用非参数Kruskal-Wallis检验进行多重比较);跨纬度温室同种植园中不同纬度互花米草种群种子萌发及幼苗存活特性沿纬度的变化趋势(b、e、h、k)(ns表示P > 0.05;*表示P < 0.05;**表示P < 0.01;***表示P < 0.001);跨纬度温室同种植园间自然选择系数的变化(c、f、i、l)

图4 互花米草种群的平均萌发时间T50可塑性(a)、萌发率可塑性(b)、萌发指数可塑性(c)、幼苗存活率可塑性(d)和萌发生态位宽度(e)沿纬度梯度的变化趋势(**表示P < 0.01;***表示P < 0.001)
研究意义与前景
本研究通过构建跨纬度温室同质种植园实验体系,揭示表型可塑性与自然选择协同驱动互花米草生态位宽度随纬度升高逐渐递减。高纬度互花米草种群采用“高萌发-高存活”策略加速向北缘扩张,而低纬度种群通过“低萌发-高可塑”补偿机制突破适应瓶颈,强调了入侵物种跨纬度的特异扩张策略。该成果不仅阐明地理异质性促进生态位拓展的生物入侵新路径,更建议未来需在陆地生态系统验证该研究结果的普适性,同时整合生态进化反馈(入侵过程中的快速适应-可塑性互作)开展研究,对预测气候变化下入侵动态具有关键预警价值。
研究团队及资助
该论文第一作者为我院刘文文教授,通讯作者为我院张宜辉教授。共同作者包括我院2021届硕士毕业生李琳、叶丛庭副教授、陈欣淙博士后。该研究获得国家自然科学基金项目(32222054, 32025026, 31971500)的资助。
论文来源及链接
Wenwen Liu, Lin Li, Congting Ye, Xincong Chen, Yihui Zhang*. 2025. Temperature affects the relative importance of phenotypic plasticity and natural selection contributing to the niche breadth of invasive plants. Oikos, e11347.
https://doi.org/10.1002/oik.11347
文、图 | 刘文文
责任编辑 | 曹京柱