导读:该研究揭示了受到人工地貌影响的湿地中,荧光溶解有机质(fDOM)的强度和组成的变化是如何影响Cu的植物可利用性的。fDOM总强度与Cu支持的互花米草营养生长呈正相关。室内荧光淬灭滴定实验证实了fDOM成分可以与Cu结合。低分子量有机酸(LMWOAs)的加入会增强一种淬灭fDOM成分的强度,提高其条件稳定性常数,并降低其淬灭比例,这意味着LMWOAs可能从fDOM-Cu络合物中提取部分Cu。这项研究结果提供了一个“fDOM-LMWOAs泵”的解释,表明fDOM是人工地貌影响下植被生长的生态调节器。
溶解有机质(DOM)代表了复杂的生物地球化学过程并在全球生态系统功能中发挥着关键和独立的作用。了解DOM的驱动因素可以更深入地了解关键的环境过程,并有助于开发实用的监测工具,以促进生态系统管理、水质控制和气候变化应对。沿海区域需要更多的土地来支持其庞大的人口密度和快速的城市扩张。在潮间带的填海项目通常会制造大量人工地貌,以获取土地或者阻挡潮汐。这引起了对生态系统可持续发展的关注。尽管目前对人工地貌的环境后果有所了解,但对其对DOM库和生态功能的具体影响仍知之甚少。由于在长期监测中的便利性,测量和解读DOM光谱特征的技术发展极大促进了从陆地水体到深海的DOM行为的探索。因此,在人工地貌影响区域开展季节性的DOM光谱监测,可以理清人工地貌对DOM池的时空驱动因素及其潜在的生态功能的影响。
研究团队通过野外调查与室内荧光淬灭滴定实验将人工地貌引起的fDOM变化与Cu植物利用率的潜在生态功能联系起来。首先,研究团队描述了野外实地采集到的沉积物中fDOM的光谱特征,以评估其时空驱动因素。接下来,研究团队比较了植物组织中的元素库存和沉积物中LMWOAs可提取的痕量(类)金属,以证明植物Cu利用率的提高与fDOM的关联。最后,研究团队利用室内的荧光淬灭验证来证明fDOM调节Cu供应的生态作用。
PARAFAC拟合确定了四种fDOM成分。这些荧光成分在OpenFluor公共数据库中进行比较和注释。Comp1和Comp3与以前报告中的陆地类腐殖质化合物荧光光谱相匹配,这些成分被发现与光化学产物或光耐性物质有关。OpenFluor数据库仅发现了一个与Comp2类似的fDOM成分,后者被认为与天然土壤中的腐殖酸有关。Comp4被推断为是海洋的异源腐殖质类物质。人工地貌影响(EA组)预期对Comp1、Comp2和Comp3的比例产生了4.1%、3.1%和-8.7%固定效应,其效应的绝对幅度高于作为潮间带自然梯度成带影响对照的WE组。

▲ 图1 通过结合PARAFAC模型和GLMM拟合,确定了fDOM成分的光谱特征和模式(来源:Elsevier)
互花米草的营养生长通过平均分蘖高度、平均基部直径和地上总生物量来评估。互花米草的营养生长与fDOM的总强度和一些特定fDOM成分的比例显著相关。在种群层面,分蘖密度和结籽率分别被作为无性繁殖和有性繁殖的评估指标,但是却未发现与fDOM指标的显著相关关系。总的来说,fDOM强度与所有营养生长性状有显著但微弱的相关性;然而fDOM和生殖性状之间没有明显的相关性。这些结果表明了fDOM与盐沼初级生产力之间的密切关系。后续结果也证实了互花米草地上部分Cu库及沉积物LMWOAs可提取Cu与fDOM的偶联(请见原文)。Cu与DOM的结合增加了其迁移性,这进一步促进了互花米草的生长。

▲ 图2 生长指标和fDOM之间的回归支持fDOM耦合了互花米草的营养生长(来源:Elsevier)
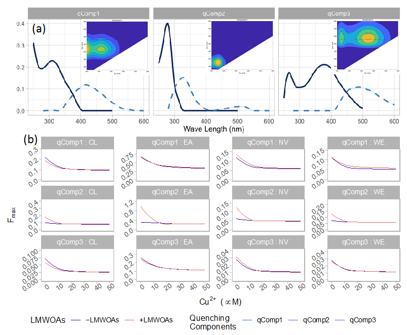
为了研究fDOM与Cu的相互作用,对提取的代表性DOM施加Cu2+,进行荧光淬灭滴定。通过PARAFAC拟合,确定了三种对Cu2+浓度增加敏感的fDOM成分(qComp1-3)。这些成分的淬灭可以用Ryan-Weber模型来拟合。这三个对Cu2+敏感的fDOM成分的logKm值相似,与Suwannee河天然有机物的报告的logKm值接近。本章中发现的淬灭fDOM成分的logKm值高于湖泊沉积物中的研究。然而,不同淬灭fDOM成分的淬灭比例有很大不同。这些结果表明了盐沼湿地fDOM的复杂性,并再次强调了考虑人工地貌对DOM生态效应的必要性。
有趣的是,LMWOAs的应用改变了荧光淬灭行为,特别是在qComp2上。在溶液中加入LMWOAs后,qComp2的logKm值上升到6.25,而其他两个成分保持稳定或略有增加。这意味着LMWOAs可能从fDOM-Cu络合物中竞争提取部分Cu。因此,我们得出一个“fDOM-LMWOA泵”的解释,即像Cu这样的特定痕量金属可以通过fDOM络合和LMWOAs提取从而被植物利用。LMWOAs通常有很高的周转率。因此,它不能长时间地作用于痕量金属的活化。相反,部分fDOM可能是惰性的,这意味着它们可以在环境中保持相对稳定,可以在较长时间尺度上持续活化痕量金属,提高其迁移性。需要注意的是,互花米草营养生长的促进可能会加速营养物质在沉积物中的积累,从而形成一个正反馈循环,产生更多的凋落物,提高物质的捕获效率。

▲ 图3 荧光淬灭模式证明了与LMWOAs诱导的成分(qComp2)相关的铜络合的变化(来源:Elsevier)
该成果以“Fluorescent Dissolved Organic Matter Facilitates the Phytoavailability of Copper in the Coastal Wetlands Influenced by Artificial Topography”为题发表于Science of The Total Environment。洪华龙助理教授与博士生吴圣捷为共同第一作者,严重玲教授为通讯作者,该研究得到科技部重大研究计划与国家自然科学基金资助。
参考文献
1.Chen, M. et al. High cadmium pollution from sediments in a eutrophic lake caused by dissolved organic matter complexation and reduction of manganese oxide. Water Res. 116711 (2020). doi:10.1016/j.watres.2020.116711
2.Wu, J., Zhang, H., He, P. J. & Shao, L. M. Insight into the heavy metal binding potential of dissolved organic matter in MSW leachate using EEM quenching combined with PARAFAC analysis. Water Res. 45, 1711–1719 (2011). doi:10.1016/j.watres.2010.11.022
3.Hong, H. et al. Risk assessment and driving factors for artificial topography on element heterogeneity: Case study at Jiangsu, China. Environ. Pollut. 233, 246–260 (2018). doi:10.1016/j.envpol.2017.10.020
4.Sheng, G.-P., Xu, J., Li, W.-H. & Yu, H.-Q. Quantification of the interactions between Ca2+, Hg2+ and extracellular polymeric substances (EPS) of sludge. Chemosphere 93, 1436–1441 (2013).
5.Hong, H. et al. Artificial topography changes the growth strategy of Spartina alterniflora, case study with wave exposure as a comparison. Sci. Rep. 7, 15768 (2017). doi:10.1038/s41598-017-16122-w
原文链接:https://linkinghub.elsevier.com/retrieve/pii/S0048969721029260
文、图|严重玲团队