近日,我院严重玲教授团队开展的一次性口罩在环境中的潜在角色及其对生态系统的危害研究取得进展,相关成果以“Post COVID-19 pandemic: Disposable face masks as a potential vector of antibiotics in freshwater and seawater”为题,在线发表于国际期刊Science of the Total Environment。
该研究初步揭示了一次性口罩在淡水和海水中作为抗生素的载体及其相互作用的机制,为深入研究一次性口罩对生态系统的复杂影响奠定基础,也为开展一次性口罩的生态风险评估提供一定的理论参考。
研究背景
全球新冠疫情致使一次性口罩的需求与消耗急剧增加。成千上万吨的一次性口罩被遗弃到自然环境中,会加剧微纤维和有毒化学物质的污染扩散,对生态系统造成严重影响。目前仅有少数国家(如中国)对口罩的回收颁布了行政条令。一次性口罩的使用量激增和管理依据的客观性缺失对环境安全造成潜在威胁,这急需系统性、全周期、多方位的深入研究与报告。针对此知识空缺,严重玲教授团队首先对淡水和海水中口罩与典型抗生素的吸附、解吸附过程及其影响因素进行了深入研究,力求以此为突破口,了解一次性口罩在环境中的潜在角色,揭示其生态风险,倡导制定有效降低一次性口罩潜在威胁的公共策略与技术手段,为形成和完善关于一次性口罩管理的法规框架提供一定的科学理论依据。
研究成果
本研究通过一系列吸附、解吸实验,系统地揭示一次性口罩在淡水和海水中作为抗生素(四环素(TC)、环丙沙星(CIP)、磺胺甲恶唑(SMX)和三氯生(TCS))的潜在载体及其界面行为与作用机制。研究结果表明:
(1)一次性口罩在淡水中对抗生素的吸附、解吸能力显著地高于在海水中。吸附亲和力依次为TCS > SMX > CIP > TC,这与抗生素的辛醇-水分配系数(log Kow)呈正相关。
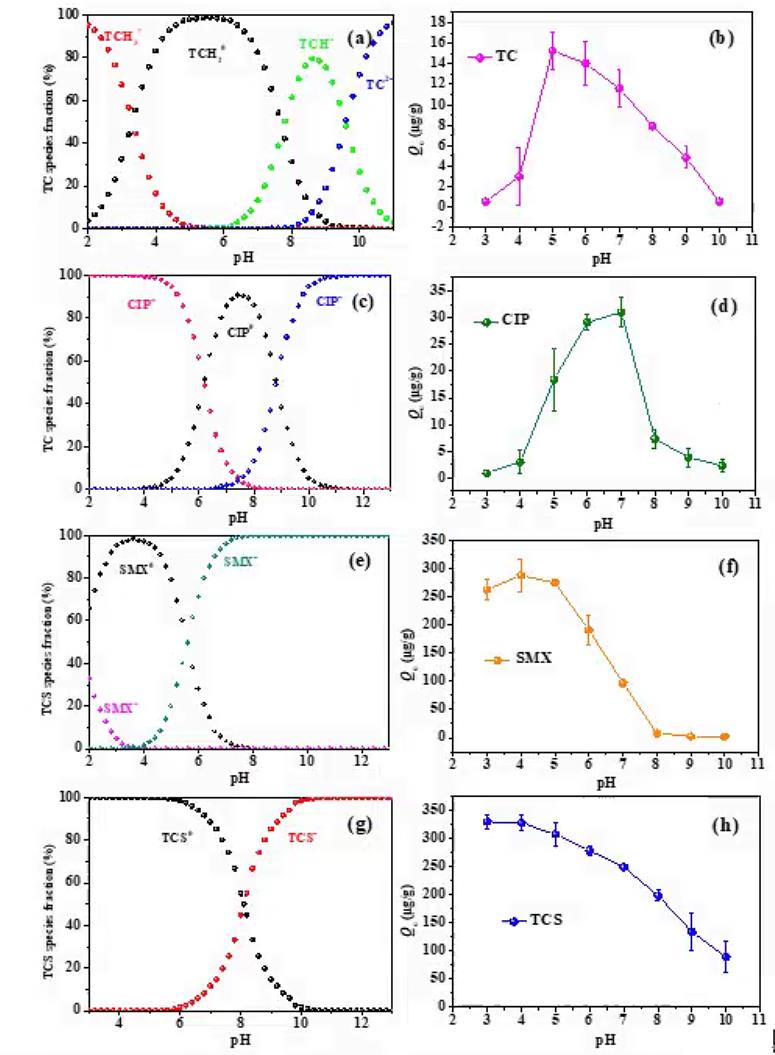
(2)一次性口罩吸附抗生素的过程主要与抗生素的两性离子物种有关,而溶液pH和盐度共同影响了抗生素在一次性口罩上的解吸行为。
(3)吸附动力学和等温线拟合结果表明一次性口罩吸附抗生素的过程主要由膜扩散和分配作用所控制,其中疏水相互作用在该过程中发挥了主要作用。
(4)与已有其他微塑料相比,一次性口罩即使未经过破碎,依然具有相近甚至更高的抗生素吸附亲和力。这说明在水体健康管理中需要更加重视一次性口罩用量激增导致的风险,并迫切需要妥善制定相关的环境管理规范。

抗生素在一次性口罩上的吸附与解吸行为

一次性口罩的照片、SEM、EDX、接触角和XRD光谱图

一次性口罩对抗生素在淡水(a)和海水(b)中的平衡吸附量(Qe)与辛醇-水分配系数(log Kow)的相关性

TC(a)、CIP(c)、SMX(e)和TCS(g)的物种分数随溶液pH的变化; 溶液pH对一次性口罩吸附TC(b)、CIP(d)、SMX(f)和TCS(g)的影响
研究团队
我院2021级博士生林陆健和2021级博士生袁博为论文的共同第一作者,严重玲教授为论文的通讯作者,我院洪华龙助理教授、卢豪良教授、刘景春副教授、2019级硕士生李汉一、2020级硕士生何乐为共同署名作者。该研究获得科技部重大研究计划国家重点研发计划重点专项项目(2018YFC1406600)和国家自然科学基金(31870483、31530008)资助与支持。
原文连接:https://www.sciencedirect.com/science/article/pii/S0048969722001395。