近日,我院于鑫教授团队在环境领域高水平期刊Journal of Hazardous Materials上发表了题为“Uncovering Novel Disinfection Mechanisms of Solar Light/Periodate System: The Dominance of Singlet Oxygen and Metabolomic Insights”的论文。论文系统阐述了模拟太阳光(SSL)活化高碘酸盐(PI)的消毒潜力及其机理。本文首先提出1O2在PI/SSL体系中对细菌灭活的关键作用,通过引入代谢组学分析,证实细菌胞内ROS过度积累是造成其死亡的原因。研究结果有助于选择性消毒策略在水环境病原菌控制中的技术开发和应用。

由于目前消毒工艺的局限性,新兴消毒技术的发展在世界范围内受到了越来越多的关注。其中,多种高级氧化过程(AOPs)在细菌失活中表现出了优越的效率。目前,活化高碘酸盐(PI)系统由于其出色的消毒效率和较低的次级微生物污染成为最新的研究前沿。模拟阳光(SSL)/PI系统因其无化学催化剂引入的优势在水处理消毒方面有较强的应用潜力,但该体系潜在的抑菌机制尚未被深入揭示。
图文摘要

该论文选择PI/SSL这种无催化剂的AOP系统,探讨其在水消毒方面的性能和应用潜力,结果表明:
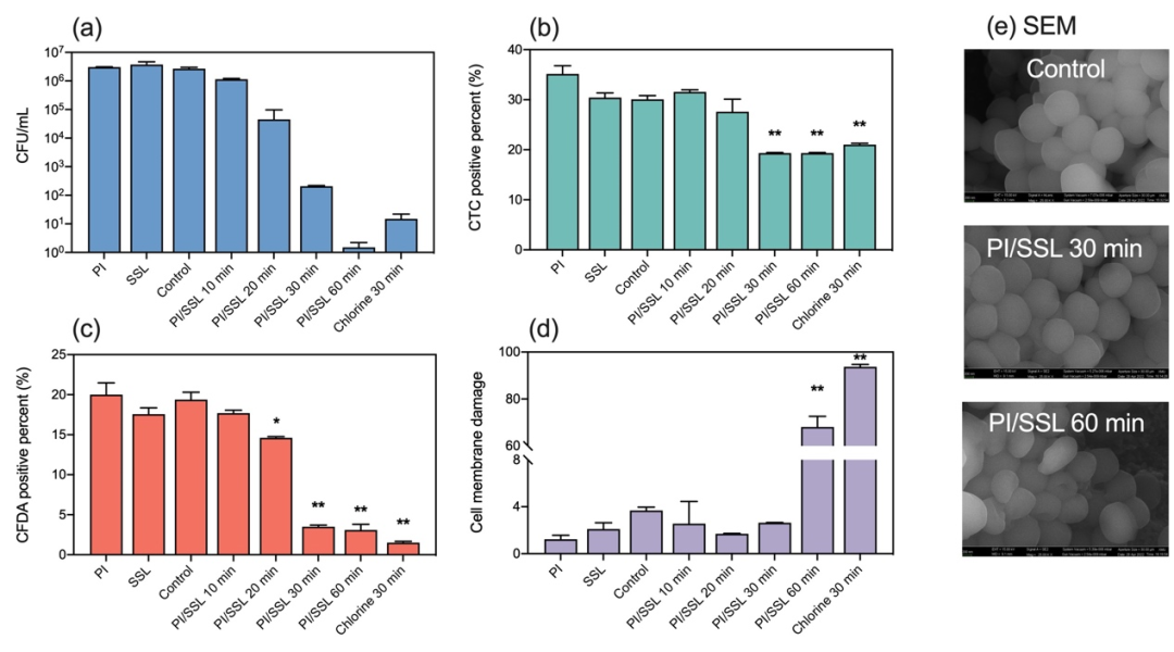
(1)与氯和其他高级氧化工艺(如UV/H2O2和UV/过硫酸盐)不同,PI/SSL系统对细菌细胞膜损伤较弱,可以优先对胞内核酸产生破坏从而实现对细菌的高效抑制作用。
(2)PI/SSL体系的主要抑菌自由基为1O2,其通过损伤DNA达到杀菌效果。此外,非靶向代谢组学分析表明,PI/SSL处理后的细菌死亡与细胞内ROS的过度积累和GSH合成的减少有关。
(3)PI/SSL体系在60分钟内能完全去除混合体系中的化学微污染物(以卡马西平为例)和微生物污染物(S. aureus),表明该体系在去除实际水环境中的混合污染方面具有较大的应用前景。

图1 PI/SSL系统杀菌性能。细菌可培养性(a)、呼吸活性(b)、酯酶活性(c)、膜通透性(d)和扫描电子显微镜图像(e)

图2 从活性物质的角度探讨PI/SSL杀菌机理

论文的通讯作者为我院于鑫教授,第一作者为我院2019级博士生叶成松。该研究得到国家自然科学基金委和厦门市科技局的资助。
文、图 | 叶成松
责任编辑 | 于 鑫
排版 | 吴晓倩